7500+ Artikel ab Lager lieferbar
Ihr Partner für die Astronomie
Astrofotografie > Kameras > Astro-Kameras > QHY > 5III > QHY Kamera 5III 174M Mono
Artikel-Nr.: 90885

Kamera 5III 174M Mono

langfristig
lieferbar ab 01.06.2026 + Laufzeit

Besonderer Service aufgrund langer Lieferzeit: Bestellen Sie jetzt und bezahlen Sie erst, sobald alle Artikel versandbereit sind!

Unsere Preisgarantie: Falls sich die Preise der Artikel bis zum Lieferzeitpunkt erhöhen, gelten für Sie die Preise zum Zeitpunkt der Bestellung. Sinken die Preise jedoch, berechnen wir Ihnen automatisch die neuen, niedrigeren Preise.

  • Sony IMX174 Sensor
  • Preisgünstige und vielseitige S/W-Kamera
  • Ideal für Mond, Planeten und Guiding
  • Ideal für die Sonnenfotografie
  • Gehäuse passt direkt in 1,25"-Aufnahme des Guidescope

Artikelbeschreibung

Die Planeten- und Gudingkamera QHY5III174 verfügt über einen 1/1,2-Zoll-SONY Exmore IMX174 CMOS-Sensor mit Global Shutter. Die große Sensorgröße ist eine gute Wahl für Sonnenaufnahmen und bietet eine große Pixelgröße und hohe Quanteneffizienz.

Wie alle Modelle der QHY5III-Serie bietet diese Kamera eine hohe Bildrate mit USB 3.0-Schnittstelle, 138 Bilder pro Sekunde bei voller Auflösung und bis zu 490 FPS bei ausgewähltem ROI.

Global Shutter:

Im Gegensatz zur Rolling-Shutter-Technologie, die in den meisten CMOS-Kameras verwendet wird, garantiert ein Global Shutter, dass die Belichtungszeit für den gesamten Bildbereich einheitlich ist, d. h. sie beginnt und endet genau zur gleichen Zeit. Dieser Kameraverschluss ist ideal für hochpräzise Anwendungen. Bei sich mit hoher Geschwindigkeit bewegenden Objekten und atmosphärischer Bewegung kann der Global Shutter unverzerrte Bilder erzeugen und eine hohe Bildqualität realisieren.

ROI Framerate:

  • 262FPS@960*600
  • 490FPS@480*300

Color oder Mono? Schwarzweiß-Kameras haben den Vorteil der höheren Empfindlichkeit und Auflösung gegenüber Farbkameras. Allerdings ist der Aufwand für ein farbiges Bild höher: Sie benötigen Farbfilter und ein Fiterrad.

Technische Daten

Leistung


Sensortyp
CMOS-Chip (Sony IMX174)
Chip-Diagonale (mm)
21,2
Megapixel
2,3
Pixelgröße (µm)
5,86
Auflösung Foto (Pixel)
1920 x 1200
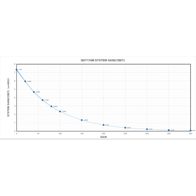
Bit-Tiefe (Bit)
12
Aktive Kühlung
nein
Schnittstellen
USB3.0 Type-B, ST-4
Anschluss (teleskopseitig)
1,25"
Gewinde
C-Mount
Farbkamera
nein
Belichtungszeit max. (min)
900
Belichtungszeit min. (Sekunden)
11µ
Bilder pro Sekunde
138 @8bit
Full Well Capacity (Elektronen)
32.000
Auflagemaß (mm)
12
Kameraverschluss
Rolling Shutter

Besonderheiten


Infrarotfilter
ja

Ausstattung


Filterrad
nein

Allgemein


Gewicht (g)
85
Serie
5III

Anwendungsgebiete


AllSky, Meteore
nein
Autoguider
ja
Mond & Planeten
ja
Nebel & Galaxien
nein

Produktsicherheit

Hersteller: Astrolumina, Alfred-Wirth-Straße 12, 41812 Erkelenz, DE, http://www.astrolumina.de

Empfohlenes Zubehör

Filter (1)

Omegon Sperrfilter UV/IR Cutoff Filter 1.25''

$ 79,-*
Astrofotografie (2)

Omegon ADC Atmospheric Dispersion Corrector

$ 135,-*
Spektroskopie & Fotometrie (1)

Paton Hawksley Spektroskop Star Analyser 100

$ 220,-*

*Alle Preise inklusive der gesetzlichen Mehrwertsteuer, zzgl. Versandkosten.

QHY Kamera 5III 174M Mono
Lieferumfang

Kundenmeinungen

Es gibt noch keine Kundenrezension für dieses Produkt.

Schreiben Sie Ihre eigene Rezension

Haben Sie spezifische Fragen zu Ihrer Bestellung oder Ihrem Produkt? Bitte wenden Sie sich hierzu an unseren Kundenservice!